В каком месте он новый? F110-GE-129 и F100-PW-229 были созданы примерно в одно время и имеют примерно одинаковые характеристики на реальных режимах полёта. Блок 50 и Юлок 52 производились параллельно, с разными двигателями. В игре просто Блок 50 немного более старый до установки АФАР, а Блок 52 уже после установки.
в каком месте хороший? он ужасен по всем параметрам, кроме 8 ракет
новый ф16 тоже хлам
любой самолет у которого меньше 8 ракет автоматически становится фуфлом на 13.7-14.7
так у ф16 еще и плохой радар, может быть его спасут новые 120ки
но это точно не тот самолет, в котором нуждается американская ветка…
Ого, прям на стенде , вау, вот это пруф. Ну тут мне нечего добавить.
Ну не новый, другой. Этот более тяговитый на больших скоростях и там прирост процентов 20 будет, если я правильно помню.
Ну ты бы хотя бы базовые вещи узнал сначала, прежде чем набросы делать.
Никогда не видели АФАР даже рядом с собой.
Можно было бы выдать блок 60, выдать ему APG-80 и тогда еще ок, можно было бы поверить. Пусть он никогда толком и не производился, но у нас же есть Як-141, а лично я только за ввод редких стендовых образцов.
Я тебе в целом скажу, даже 70й блок, на который начали ставить APG-83 это практически штучные образцы их и 2 десятков не наберется. Последний раз когд я смотрел, пару лет назад, их было 12.
Он манёвренней, дальше летит, лучше радар, больше вооружения, быстрее. В всех местах лучше.
С этой точки зрения правда, но только для РБ.
Этому выдали бумажный АФАР.
Лучше не будет. Ну разве что Ф-22 можно, все остальное такое же или даже хуже.
пахахаххахах
миг 29 маневренный? где угодно, н оне в вар тандере
сними розовые очки дружище
радар лучше смт?
я слышал наоборот
у нас только в рб и играют
асб мертво
block70 хуже для тебя
ты в каком месте логику обронил, при подключении интернета?
Это другой вопрос, я же говорю как должно быть и в сравнении с другими МиГ-29.
± такой же
Я играю иногда, в ВР весело.
А чем лучше? Двигатель такой же, сам самолет потяжелел на 2 тонны + дальность, на этом различия все.
Вот бы Ирбис у Су-30СМ2 на стенде увидеть…
это как раз самый важный вопрос
здесь никто не говорит про ирл
харе дизинфу кидать
и нахрен он нужен
в вр надо в дкс играть, а не в полумертвый асб
но сам решай
у него красивые конформные баки
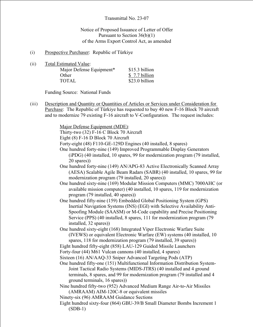
80 штук.
Основная масса блок 70/73 это комплекты модификаций 50/52 как и вигре
короче в след обнове мы добавляем су35 с ирбисом, а у су30см2 ирбис забираем)
все довольны расходимся
ДКС хуже. Геймплей состоит из тумблеров, флайт модели еще менее реалистичны и конкурентных Российских литаков нет вобще. А от эФок меня уже тошнит.
Да он в целом симпатичный, хоть и пухлый.
Ты как раз путаешь с 60м блоком, их там чет модифицировать хотели. А вот 70е блоки это уже самолеты новой постройки.
Сфигали? Реалистичный радар на реальном самолете, все четко в этот раз.
Найдешь ведь фото? Документацию?
Сразу после документации на летные характеристики Рафаля и Тайфуна.
Действительно

Быстрое гугление привело меня к тому, что Турция сначала хотела закупить 40 блок 70, но потом передумали и захотели просто купить комплекты модернизации для существующих F-16C. Обсуждение было вроде в 25 году, результаты не нашел.
Ого, столько же, сколько и су27см, но к су27см у тебя нет вопросов
Так он буквально воюет.
Я не отрицаю же что Блок 70 существует, вобще ни слова про это не сказал.
Есть вероятность снова обосраться и с умным видом это отрицать.
Будешь отрицать что 52 блок не имеет АФАР?
Например взять фото барса из каталога Рособоронэкспорта и называть его Ирбисом?
Не буду, зачем? Они точно есть, где-то.
Ну чел вроде не я в прошлый раз утверждал что на картинке не то что вам кажется, а то что кажется тебе и вобще “врети ВОТ У БАРЕНА!!!” не мой любимый способ троллинга глупостью.
Пытаешься задемеджконтролиться тем что я 1 букву перепутал? Сильно.

